MILE米乐集团

服务热线:024-24228366
otherbanner1

固定式空气压缩机检测公开服务

服务前提

委托方检测设备需能正常运行,所使用的空气压缩机技术资料保留齐全,新购置装置的空气压缩机应拥有矿用产品安全标志。

 

流程

1、凭据

AQ2055-2016《金属非金属矿山在用空气压缩机安全检验规范 第1部门:固定式空气压缩机》

2  职责

2.1  检测员严格按尺度划定对在用设备进行检测,忠诚纪录检测数据,确保原始纪录正确,而后凭据检测纪录出具检验汇报。

2.2  质量监督员对检测工作进行监督,保障了局正确。

2.3  检测室主任对汇报和检测纪录进行核查,确认后具名。

3  仪器设备

空压机综合参数测试仪、开口闪点测定器、数字转速表、电子秒表、声级计、振动丈量仪。

4  检测项目

依照尺度划定进行检测,具体遵循条款见下表:

序号

检验项目

技术要求

项目类型

验步骤

1

环境

5.1.1

C

6.1

 

2

安全防护

5.1.2

C

3

消防措施

5.1.3

C

4

值班机房噪声

5.1.4

C

5

光滑油闪点

5.2.1

B

6.2.1

6

光滑系统密封

5.2.2

C

6.2.2

7

光滑油压力表

5.2.3

B

8

光滑油欠压 ;ぷ爸

5.2.4

A

6.2.3

9

光滑油超温 ;ぷ爸

5.2.5

A

6.2.4

10

冷却系统

5.3.1

A

6.3.1

11

冷却器

5.3.2

C

6.3.2

12

储气罐安全装置

5.4.1

A

6.4.1

13

截止阀及储气罐压力开释装置

5.4.2

C

14

储气罐压力批示仪表

5.4.3

B

15

止回阀

5.4.4

B

16

放空管

5.4.5

C

17

储气罐温度

5.4.6

A

6.4.2

18

系统压力批示仪表

5.5.1

B

6.5.1

19

排气压力

5.5.2.1

B

6.5.2

20

排气压力节造

5.5.2.2

B

21

出口安全阀

5.5.2.3

B

22

末级出口的安全阀

5.5.2.4

B

6.5.2

23

排气超温 ;ぷ爸

5.5.3

A

6.5.3

24

曲轴箱油温

5.6

A

6.6

25

停车复位

5.7

A

6.7

26

运行状态

5.8

C

6.8

27

振动

5.9

B

6.9

28

转速

5.10

C

6.10

29

容积流量

5.11

C

6.11

30

输入比功率

5.12

C

6.12

31

输入电流

5.13

A

6.13

5  检测步骤

5.1机房或術室

选取目测方式,查抄空气压缩机的装置地位、防护装置、消防器材等是否切合尺度要求。选取切合GB/T 3785.1划定的2级声级计,丈量值班机房内人员工作地位处噪声,取3次丈量了局的算术均匀值作为检验了局。

5.2 光滑系统

1查抄受检单元提供的光滑油闪点的有效证明或直接进行检验,应切合尺度5.2.1的要求。

2 选取目测方式检验5 .2.2- 5 .2. 3划定的检验内容。

3在被检验设备上报答造作仿照故障的前提下,检验光滑油

压力低于划定值时停车 ;ぷ爸没蛐 号显示(报警)装置的活络性,应检验3次,每次作为均应正确,应切合尺度5 .2.4的要求。

4在被检验设备上报答造作仿照故障的前提下,检验光滑油超温停车 ;ぷ爸檬欠裼行,应检验 3次,每次作为均应正确,应切合5 .2. 5的要求。

5.3冷却系统

1对水冷式空气压缩机,用精确度不劣于士1 4的点温计或接触式丈量仪器丈量冷却水出水温 度。关关冷却水进水或在报答造作仿照故障的前提下,空气压缩机应能实时停车,应检验3次,每次动 作均应正确。对风冷式空气压缩机,目测查抄风冷系统工作情况。应切合5 .3.1的要求。

2目测查抄活塞式空气压缩机的末级排气口是否装置有冷却器,冷却器出口是否装置安全阀,应 切合尺度5 . 3. 2的要求。

5.4  储气罐

1、选取目测方式检验尺度5.4.1、5.4.3、5.4.4、5.4.5划定的检验内容,选取通例长度仪器丈量尺度5.4.2 划定的压力开释装置和排气管的管径,释压装置的开释压力可凭据铭牌或其他有关资料确定。

2、用精确度不劣于士14的温度丈量仪表丈量储气罐内温度,当无法直接丈量储气罐内温度时,可 丈量储气罐金属表表温度作为储气罐内温度。在被检验设备上报答造作仿照故障的前提下,检验超温  ;ぷ爸煤捅ň爸檬欠裼行,应检验3次,每次作为均应正确,应切合尺度5.4.6的要求。

5.5 系统 ;ひ

1、选取目测方式检验尺度5.5.1划定的检验内容。

2、调整空气压缩机的输出排气压力或容积流量,用精确度不劣于士1.6%的压力丈量仪器,检验输出排气压力,应切合5. 5.2.1的要求,5.5.2划定的其他要求选取目测方式进行检验。

3、在被检验设备上报答造作仿照故障的前提下,检验排气超温 ;ず捅ň爸玫幕盥缧,应检验 3次,每次作为均应正确,应切合尺度5.5.3的要求。对于只能由造作单元设定 ;ず捅ň问目掌顾趸,应检验其设定的 ;ず捅ň问,可能时也应按上述要求进行验证试验。

5.6 曲轴箱油温

用精确度不劣于士 1℃的点温计或其他有效温度丈量仪器丈量曲轴箱内的光滑油温度,应切合尺度5.6的要求。当难以丈量曲轴箱内的光滑油温度时,也可通过丈量曲轴箱的表表温度,取最大值作为曲轴箱 油温检验了局。

5.7停车复位

在对尺度5.5所要求的各 ;ぷ爸玫闹澳苡行越屑煅槭,同时检验停车复位职能,应切合尺度5.7的要求。

5.8运行状态

在所有项目检验期间,观察空气压缩机运行时,各活动部件及其他部位是否存在异常响声和振动, 应切合尺度5 .8的要求。

5.9 振动

选取精度不低于5 %(数字显示仪表的精杜爪不低于5 %士 5个字)的丈量仪器,依照GB/T 7777 的划定进行检验和评价,应切合5 .9的要求。

5.10转速

空气压缩机的转速利用精确度不大于士 0.2%或士2 r/min的转速丈量仪器进行检验,在检验时, 应以约莫相称的功夫距离读出不少于3次的转速值,推算其均匀转速作为检验了局,应切合尺度5.10的要求。

5.11容积流量

1 、检验步骤

尺度状态下的容积流量可按下列步骤之一进行检验:

——按GB/T 1 5 487检验空气压缩机的容积流量 ;

——选取储气罐充填法(风包法)丈量空气压缩机的容积流量 ;

——选取流量法丈量空气压缩机的容积流量。

2、储气罐充填法(风包法)丈量空气压缩机的容积流量

2.1 用充水法或直接丈量的步骤丈量储气罐(风包)及相连管路的容积V。

2. 2 堵截所有效气设备,在储气罐上装置压力丈量仪器及两支点温计丈量储气罐内气体压力和 温度,测试前要查抄安全阀的工作情况,并查抄管路和容器是否漏气。

2.3 储气罐充填法(风包法)丈量空气压缩机的容积流量丈量系统的安插示意图如图1所示# 丈量时,把储气罐内的渣滓气体及油、水放净,而后关关闸门3,开动空气压缩机#当储气罐中空气压 力升至0.2 MPa?0.3 MPa时,起头用秒表计时,同时纪录储气罐中气体的压力P1温度T1,当储气罐气体达到测试压力P2时,立即终场秒表和空气压缩机,并迅速记下压力由P1升至P2温的功夫t。

2.4空气压缩机容积流量的推算步骤如下:

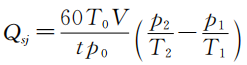
a)现实容积流量Qsj:

  MILE米乐·(中国)集团.............................(1)

式中:

QSJ——现实容积流量(m3/min) ;

V ——储气罐容积(蕴含闸门3以前排气管内的容积)(m3) ;

p1、T1 ——测试起头时,风包内的绝对压力(Pa)和绝对温度(K) ;

P2、T2——测试实现时,风包内的绝对压力(Pa)和绝对温度(K) ;

P0、T0——空气压缩机吸气状态下空气的压力(Pa)和绝对温度(K) ;

t——测试起头到测试实现时的充气功夫s)。

b尺度状态下的容积流量Q:

MILE米乐·(中国)集团........................................(2)

式中:

T20    ——尺度状态下的绝对温度,T20=293K ;

p     ——尺度大气压,p = 1.0133×105 Pa ;

p0、T0 ——空气压缩机吸气状态下空气的压力(Pa)和绝对温度(K)。

3、流量法丈量空气压缩机的容积流量

3.1 流量法检验的前提

选取流量法丈量空气压缩机的容积流量时,应切合下列前提:

a)被检测的空气压缩机的各密封处应无泄漏 ;

b调整压力调节器,将空气压缩机末级的排气压力调整到额定值,再测试额定工况下的有关数据 ;

c)管路直径与丈量传感器直径之比不幼于10;

d)丈量点地位应选在离进气口 5倍管径以上的直线段 ;

e)丈量传感器插入深度约为2/3半径进行丈量 ;

f)丈量仪器的精确杜爪达到下列要求:

——风速不劣于±2.5%  ;

——温度不劣于±1℃  ;

——压力选取不劣于士2.5%的液体压力计类丈量仪器或不劣于3%的其他专用仪器

——长度丈量用具不劣于±1mm。

g)检验时,应同时纪录下列参数:

——空气压缩机进气丈量点管路内的风速、温度和压力参数 ;

——活塞式空气压缩机转速 ;

——空气压缩机入口温度、压力。

3.2 现实容积流量Qsj

现实容积流量应依照下列步骤丈量:

a)应至少丈量6次,其均匀值作为现实风速c的检验了局 ;

b现实容积流量按式(3)推算:

MILE米乐·(中国)集团 ·······························(3)

式中:

QSJ 现实容积流量(m3/min);

d ——丈量地位管路内径(m) ;

c ——丈量得到的现实风速(m/s)。

c)尺度状态下的容积流量Q:

尺度状态下的容积流量Q按式(4)推算:

MILE米乐·(中国)集团·································(4)

式中:

Q——尺度状态下的容积流量(m3/min);

P0——丈量地位的进气压力(Pa);

T20——尺度状态下的绝对温度,T20 =293 K ;

p——尺度大气压,p = 1.0133×105Pa  ;

T0——进气量丈量地位的绝对温度(K) ;

Qsj——现实容积流量(m3/min)。

5.12 输入比功率

1、空气压缩机的输入功率应选取丈量系统精确度不劣于±2%的仪器检验。

2、应在空气压缩机运行安稳时进行检验,并应靠近空气压缩机的输入端进行检验。

3、在检验时,应以相称的功夫距离纪录不少于3组(次)丈量值,推算其均匀输入功率作为检验了局。

4、按式(5)推算输入比功率+:

MILE米乐·(中国)集团·································································( 5)

式中:

q ——输入比功率[kW/(m3/min)] ;

P ——空气压缩机组的输入功率(kW) ;

Q ——空气压缩机现实容积流量(m3/min)。

5.13输入电流

1、丈量仪器的精确杜爪不劣于士2% #

2、应靠近电动机配电装置的进线处进行丈量#

3、在检验时,应以相称的功夫距离纪录不少于3次丈量值,推算其均匀输入电流值作为检验了局。

6 判定规定

1、检验和判定机构

应由具备国度划定资质前提的检测检验机构进行检验和判定。

2、综合判定准则

2.1检验项目分为A类项目(关键项)、B类项目(沉要项)和C类项目(通常项)3种类型,具体划分见项目表1。

2.2出现以下情况之一时,检验结论综合判定为不合格:

A类项目中,出现1项或1项以上不合格 ;

B类项目中,出现4项或4项以上不合格 ;

C类项目中,出现7项或7项以上不合格 ;

B类项目和C类项主张不合格项数之和大于或蹬宗7项。

7  编发汇报

7.1  编写汇报应持客观、公正、疑神疑鬼的准则。

7.2  汇报的内容

7.2.1  检验汇报的内容蕴含进行检测的地址、仪器状态、检测凭据、凭据检测数据而得出的检验结论。

7.2.2  按尺度检测合格的仪器,发给检验汇报 ;不合格的仪器发给检测了局,并注明不合格项目。

7.3  检验汇报按本公司《了局汇报治理法式》核准、归档、签章、发出 ;出格把稳汇报的核准必须由有关领域的授权具名人具名。

8  当苦衷项

8.1  检验汇报的假造人和进行检测的人员不能由统一人担任。

8.2  本公司不能在检验汇报中出现资质领域表的项目、参数。

9  纪录

9.1  《检测检验委托合同书》

9.2  《矿山在用固定式空气压缩机检测原始纪录

9.3  《检验汇报发放登记表》   

9.4  《检验汇报》

时限

7天


MILE米乐集团 版权所有登记号:辽ICP备16001656号-1技术支持:网势科技
newhome网站首页 newtel一键电话
【网站地图】